Skip to main content
menu
585-621-3300
info@gregoryschaffer.com
|
Client Login
|
Get In Touch
Our Companies
About
About Us
Why you should choose us?
Our Process
Our Philosophy
Our Team
Contact
Working at The Gregory L. Schaffer Companies
Photo Album & History of The Eddy Mansion
Legal, Privacy, Procedures, Disclosures, Copyright and Trademark Information
Services
Real Estate Services
Investment Advisory
Insurances
Financial Planning
Retirement Planning
Asset Allocation Planning
Taxation & Accounting
Executor Services
Trust Services
Commentary, notices & alerts!
Client Tools
Client Portal
Charles Schwab Client Login
Calculator Library
Useful Websites
Income Tax Checklist-What to bring
Education Center
FAQs
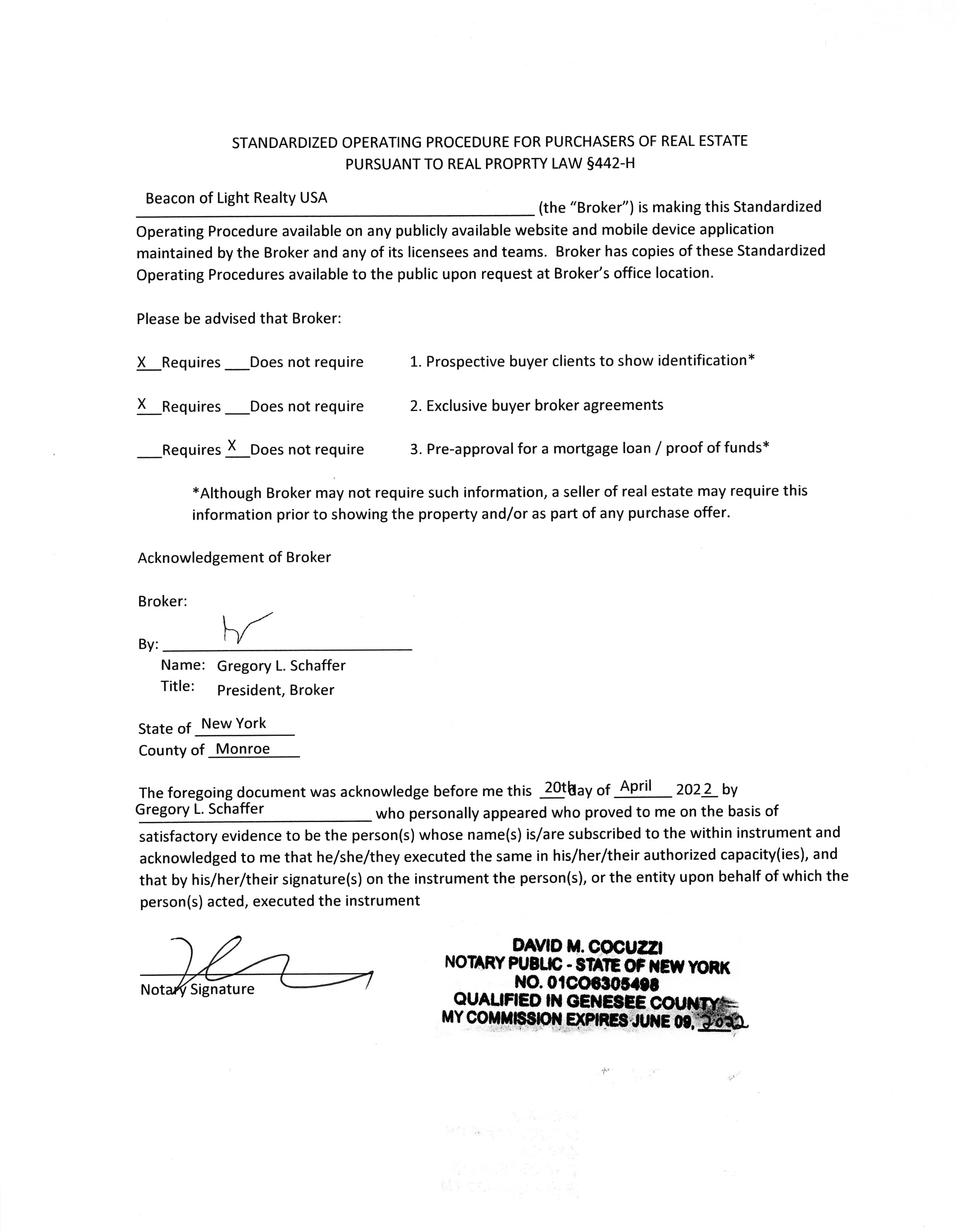
New York State Standardized Operating Procedure
New York State Standardized Operating Procedure
Gregory Schaffer |
May 3, 2022
© 2026 The Gregory L. Schaffer Companies. All rights reserved.